{"column":{"component":"Media","content":{"media":{"src":{"mobile":"/media/23bg1egu/onsite-renaming-mandatory-12.jpg?width=668&height=0&format=webp&v=1db8d104f8808f0","tablet":"/media/23bg1egu/onsite-renaming-mandatory-12.jpg?width=1145&height=0&format=webp&v=1db8d104f8808f0","desktop":"/media/23bg1egu/onsite-renaming-mandatory-12.jpg?width=1642&height=0&format=webp&v=1db8d104f8808f0"},"alt":"Dosierskid mit Coriolis-Durchflussmesser","type":"image","link":{},"width":668,"height":0},"caption":""}}}
Dosierskid mit Coriolis-Durchflussmesser

Kontinuierliche vs. Chargen-Herstellung

Bei der kontinuierlichen Herstellung von Arzneimitteln geht es um die Entwicklung eines vollständig automatisierten Prozesses mit minimalen Eingriffen durch das Personal. Dadurch wird ein höheres Maß an Genauigkeit und Überwachung der chemischen Inhaltsstoffe gefordert. Dies lässt sich durch den Einsatz von Massendurchflussreglern in Kombination mit einer Pumpe erreichen.   

Traditionell werden Humanarzneimittel in einem schrittweisen Chargen-Prozess (auch Batch-Prozess genannt) hergestellt, um eine gleichbleibende Qualität und Wirksamkeit des fertigen Medikaments zu gewährleisten. Immer mehr Hersteller gehen jedoch vom traditionellen Chargen-Verfahren zu einem kontinuierlichen Herstellungsprozess über.  

Anwendungsanforderungen

Bei der kontinuierlichen Herstellung von Arzneimitteln müssen die chemischen Reaktanten während des gesamten Prozesses immer wieder auf präzise und wiederholbare Weise hinzugefügt, gemischt und übertragen werden. Der Kunde wünschte sich ein modulares System, bei dem er Komponenten hinzufügen oder entfernen kann. Denn jedes Medikament, das er herstellt, erfordert eine andere Konfiguration. Darüber hinaus war die Erfassung von Prozessdaten mit Echtzeit-Massendurchfluss, Dichte und Temperatur von entscheidender Bedeutung. Diese Daten mussten aufgezeichnet und archiviert werden, damit sie den Aufsichtsbehörden im Falle einer Inspektion zur Verfügung gestellt werden können.

Wichtige Aspekte

01

Genaue Massendurchflusskontrolle der Flüssigkeiten

02

Reproduzierbarkeit

03

Flexibilität, Plug & Play

04

Kompaktheit

Die Lösung

Bronkhorst war in der Lage, ein kompaktes Modul zu entwickeln, das leicht mit mehreren Modulen gleicher Bauweise erweitert werden kann. Auf diese Weise war es möglich, Module mit verschiedenen Konfigurationen zu kombinieren, um eine möglichst flexible Lösung anzubieten. Die Dosiermodule bestanden aus einem Coriolis-Durchflussmesser in Kombination mit verschiedenen Arten von Schlauch- und Zahnradpumpen sowie einem Drucksensor. 

Durch die Beseitigung zeitraubender und fehlerverursachender Unterbrechungen, die bei der herkömmlichen pharmazeutischen Batch-Verarbeitung auftreten können, ist der neue kontinuierliche Herstellungsprozess schneller, zuverlässiger und flexibler. Die Kommunikation mit dem Modul erfolgt in diesem Fall über das Profibus-Protokoll. Das Unternehmen setzt ein DCS (Distributed Control System) ein, das den gesamten Prozess zentral steuert, Daten aufzeichnet und alle Daten zu Zwecken der Regulierung und Rückverfolgbarkeit archiviert.

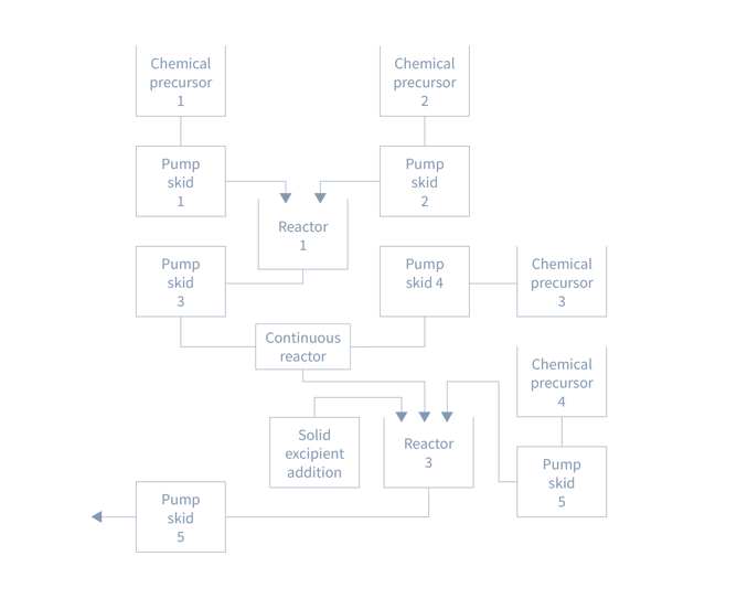
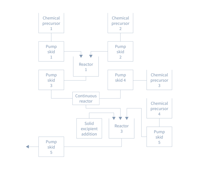
Durchflussschema

"Die kompakte Bauweise des Durchflussreglers machte es uns leicht, mehrere Skids wie ein Plug&Play-System zu kombinieren. Eine wirklich einfache Handhabung."

Empfohlene Instrumente

IN-PRESS

IN-PRESS

Wasserdichtes digitales elektronisches Druckmessgerät / Controller

Bis zu 400 bar

Geeignet für nicht inerte (reaktive) Gase

Nahtlose Integration mit Durchflussmessgeräten

Breites Angebot an Absolut-, Überdruck- und Differenzdruckmodellen

Serie ansehen
mini CORI-FLOW

mini CORI-FLOW

Coriolis-Massendurchflussmesser für Flüssigkeiten und Gase mit Reglerausgang

Für 0...300 kg/h

Genauigkeit *****

Beste Dosierlösung durch On-Board-Controller

Geeignet für jede Flüssigkeit

Serie ansehen

Weitere Artikel zum Thema

Coriolis-Durchflussmesser für die Wirkstoff-Dosierung

Coriolis-Durchflussmesser für die Wirkstoff-Dosierung

Erfahren Sie mehr über die Rolle von Coriolis-Durchflussmessern bei der Dosierung von pharmazeutischen Wirkstoffen für präzise und reproduzierbare Ergebnisse.

Erfahren Sie mehr
Gasregelung für Benchtop-Bioreaktoren

Gasregelung für Benchtop-Bioreaktoren

Optimieren Sie Ihre Bioreaktorprozesse mit FLEXI-FLOW Compact: Große Dynamik, hohe Genauigkeit und einfache Gasumstellung für verbesserte Effizienz.

Erfahren Sie mehr
Durchflussmesser für die mRNA-Impfstoffproduktion

Durchflussmesser für die mRNA-Impfstoffproduktion

Coriolis-Durchflussmesser sorgen für präzise und reproduzierbare Messungen bei der mRNA-Impfstoffherstellung.

Erfahren Sie mehr
Luftkeimsammler-Kalibrierung in Reinräumen

Luftkeimsammler-Kalibrierung in Reinräumen

Erfahren Sie, wie die präzise Kalibrierung von Luftkeimsammlern mit inline MASS-STREAM Durchflussmessern in Reinräumen höchste Sicherheitsstandards in der pharmazeutischen Industrie gewährleistet.

Erfahren Sie mehr

Copyright © 2026 Bronkhorst. Alle Rechte vorbehalten.

Bronkhorst USA LLC

1550 Valley Center Parkway Ste, 100

PA 18017 Bethlehem

+1 610 866 6750

[email protected]

View nearby offices
Newsletter

Bleiben Sie auf dem Laufenden und erhalten Sie regelmäßig Infos zu Updates, Schulungsterminen und Produktinnovationen.

Abonnieren