Exigences de l'application

Pour l'étalonnage des débitmètres massiques sur site, le client a demandé un système d'étalonnage portable équipé d’un ensemble d’instruments étalonnés et utilisés comme référence. Dans cette configuration, le client a préféré une réalisation mécanique ouverte et compacte, sans commande électronique ni alimentation.

Caractéristiques importantes

  • Étalonnage précis de débitmètres en série
  • Étalonnage rapide pour un gain de temps
  • Système d'étalonnage transportable

Solution adoptée

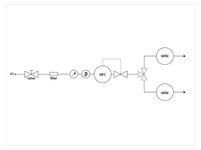
En entrée gaz, une vanne d’arrêt et un filtre sont installés pour empêcher la poussière ou d’autres particules de circuler. Un transmetteur de pression est ensuite placé pour lire et contrôler la pression. Puis un thermomètre est monté en amont du dispositif à tester (DUT), qui peut être un débitmètre massique ou un régulateur de débit. Sur cet équipement, deux débitmètres massiques de référence sont montés en parallèle et en aval du dispositif à tester, un pour les faibles débits de gaz inférieurs à 20 ln/min d'air (Gamme EL-FLOW Prestige ou EL-FLOW Select) et un pour les débits de gaz plus importants jusqu’à 1200 ln/min d'air (Gamme EL-FLOW Select), qui ont été étalonnés selon les normes nationales.

Dans cette configuration, vous testez si le débitmètre massique est suffisamment bon en termes de précision et si il est en bon fonctionnement. Lorsque l’écart entre le dispositif testé (DT) et le dispositif de référence se situe dans la tolérance permise, aucune autre action n’est requise. Lorsque l’écart est en dehors de la tolérance permise, il est recommandé d’envoyer le débitmètre à Bronkhorst pour faire un ajustement et un nouvel étalonnage.

Schéma fluidique

Schéma fluidique

Système d'étalonnage sur site

Outre les sociétés qui utilisent de nombreux débitmètres, un système d'étalonnage sur site similaire peut être intéressant pour les laboratoires institutionnels et les organismes de recherche, qui doivent s’assurer de la précision de leurs débitmètres en permanence. Si les intervalles d'étalonnage doivent être courts ou si les projets doivent être réalisés dans des délais serrés, un système d'étalonnage portable peut être une bonne solution. Bronkhorst peut vous proposer un système d'étalonnage qui sera adapté à vos besoins.
 
Système d'étalonnage portable
Une autre possibilité pour une utilisation sur site est le système d'étalonnage portable Fluical. Dans ce cas, vous pouvez laisser les débitmètres à tester en place sur l’installation. Grâce au système d'étalonnage portable, vous pouvez vérifier aussi bien des instruments pour le débit que des instruments pour la pression. 

Contrairement au volumètre portable à technologie volumique à piston, le système d’étalonnage Fluical est basé sur une technologie massique thermique apportant une meilleure précision de mesure.

De nombreux clients utilisent ces systèmes d'étalonnage pour la vérification de l’instrument mais il est également possible de faire l’ajustement du débitmètre grâce à notre logiciel FLUICAL. FLUICAL® est développé par Bronkhorst pour être utilisé par nos clients.

Services d'étalonnage de Bronkhorst

Vous avez besoin d’aide pour étalonner vos instruments Bronkhorst ? Afin de garantir la performance de vos débitmètres, nous vous conseillons d’envoyer vos instruments chez Bronkhorst une fois par an pour étalonnage et éventuel ajustement. Nous disposons de bureaux de service dans le monde entier. 

Dans notre centre d'étalonnage aux Pays-Bas, nous sommes en mesure d'étalonner et d’ajuster les instruments de débit de Bronkhorst ainsi que les instruments de tiers entrant dans le cadre de nos activités. En outre, nous pouvons également proposer des étalonnages ISO/IEC 17025.

Formation à l'étalonnage
Vous avez besoin d’aide pour étalonner vos instruments Bronkhorst ? Afin de garantir la performance de vos débitmètres, nous vous conseillons d’envoyer vos instruments chez Bronkhorst une fois par an pour étalonnage et éventuel ajustement. Nous disposons de bureaux de service dans le monde entier. 

Besoin de conseils ?

Vous souhaitez obtenir des conseils ou en savoir plus sur ce sujet ?

Articles associés

Cet article vous a plu ? Vous pourriez également être intéressé par ceci.

THÉORIE DES PRODUITS
mardi 11 février 2025
10 questions sur le dosage liquide

10 questions sur le dosage liquide

Découvrez l'essentiel du dosage de liquide et la différence entre des débitmètres et des pompes doseuses avec les explications des spécialistes de Bronkhorst.

Lire l'article : primary button
MESURE DE DÉBIT
lundi 3 mars 2025
Calculs de débit

Calculs de débit

Utilisez Fluidat, l’outil pour calculer les débits et facteurs de conversion pour les débitmètres Bronkhorst et le dimensionnement des vannes.

Lire l'article : primary button
THÉORIE DES PRODUITS
mardi 13 mai 2025
Tuyauterie pour débitmètres

Tuyauterie pour débitmètres

Découvrez pourquoi le choix de la tuyauterie est essentiel pour les débitmètres massiques thermiques et l’impact sur les performances dans les applications

Lire l'article : primary button