Reactive sputtering in practice
Physical Vapor Deposition (PVD) sputtering or reactive sputtering is a layer deposition technique where sputtered particles react with a gas that is introduced to the sputtering chamber.
High-energy argon is applied to e.g. metal (aluminum), releasing a vapor of sputtered metal particles. They react with the supplied reactive gases, allowing very thin ceramic layers to be deposited on glass, silicon wafers, metal or polymer. Reactive sputtering is used for applying coatings for anti-reflection, hardening, anti-wear, etc.
Application requirements
Fast flow control is essential in vacuum deposition technology. Each second saves time and energy, resulting in a better efficiency of the deposition equipment. The gas flows need to be supplied with a large dynamic flow range, in a reproducible way and with long-term stability to remain the quality.
Important topics
Important topics
Fast response flow control
Shut-off functionality
Large dynamic range
Communication interfaces
Reproducibility and long-term stability
Process solution
The FLEXI-FLOW Compact mass flow controller reaches 150 msec response time without overshoot. This way, we can meet the requirements of vacuum coating customers that need multi-channel flow solutions offering stable and fast flow control in combination with shut-off functionality.
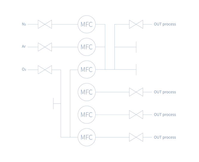
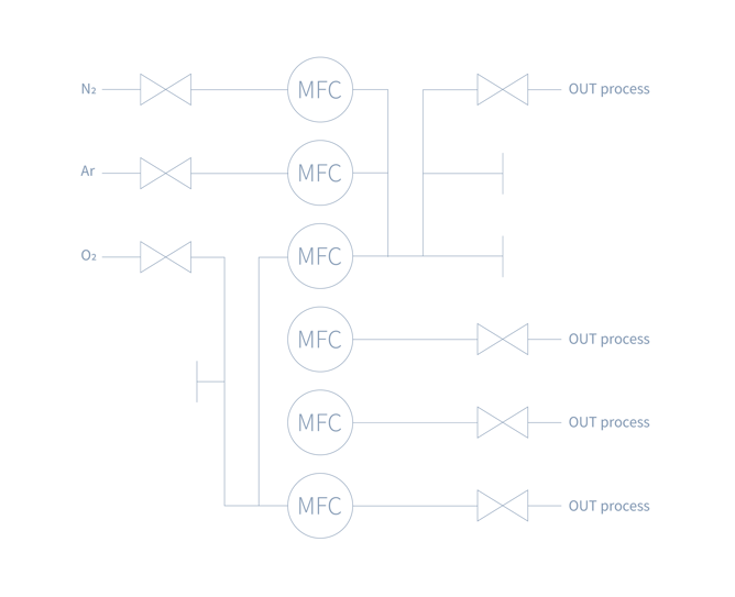
Example of process scheme with 6 Mass Flow Controllers. Shut-off valves are implemented to guaranty very low leak rate to the vacuum chamber
Fast response flow control
End-users of vacuum deposition equipment require a very fast responding gas supply system. They optimize process conditions like pressure and gas flow and monitor the results by measuring the coating thickness during the coating process. A stable, controlled gas flow should be present during the process to ensure the correct thickness and composition of the coating.
When the sputter system observes that the thickness or transparency is deviating, it corrects the deposition process by adjusting the gas flows. Therefore, a very fast flow control is desired with a response in the 150-millisecond range. The Bronkhorst FLEXI-FLOW mass flow controller can do this. In case there are variations in inlet pressure, the gas flow controller keeps the flow at the setpoint as responsive as possible. When there are changes in the reactor chamber, the flow controller receives a new setpoint. This way, fast response to new setpoints results in less waste and less rejected products.
Shut-off functionality
A shut-off valve can be integrated to minimize leakage to the vacuum chamber in the phase of vacuuming - especially useful in ultra-high vacuum reactors.
Large dynamic range
The large dynamic flow range with a high turndown ratio of at least 1:1000 reduces the number of models and spare parts needed and improves the flexibility of the vacuum deposition equipment.
Communication interfaces
Compact multi-channel solutions are available with interface of choice through a gateway, making use of industrial protocols like EtherNet, EtherCAT and PROFINET. Data produced in this way can be used for predictive maintenance.
"Thanks to Bronkhorst's FLEXI-FLOW Compact, we achieve consistent and reliable gas flow control in our vacuum deposition equipment, significantly reducing waste and improving product quality."
Related articles
Flow controllers for lab grown diamonds
Our mass flow and pressure controllers ensure stable conditions for high-quality lab-grown diamonds using CVD technology. We collaborate with top machine builders to provide precise control of gaseous reactants, supporting various communication protocols and offering fast response times to enhance production efficiency.
Read more
Ultrasonic flow meter for thermal spraying
Flame Spray Technologies uses Bronkhorst ES-FLOW ultrasonic flow meters in their thermal spraying equipment to improve coating quality. These meters ensure precise control of liquid and gas flows, fitting easily into control cabinets. Accurate flow control is crucial for maintaining coating quality and thickness.